Home » Blog » डीएम मयूर दीक्षित ने किया जिले में बड़ा प्रशासनिक फेरबदल, 07 रजिस्ट्रार कानूनगो और 39 लेखपालों का हुआ तबादला

डीएम मयूर दीक्षित ने किया जिले में बड़ा प्रशासनिक फेरबदल, 07 रजिस्ट्रार कानूनगो और 39 लेखपालों का हुआ तबादला

by
  • हरिद्वार में कर्मचारियों के बंपर तबादले
  • 07 रजिस्ट्रार कानूनगो तथा 39 पटवारियों एवं लेखपालों के तबादले

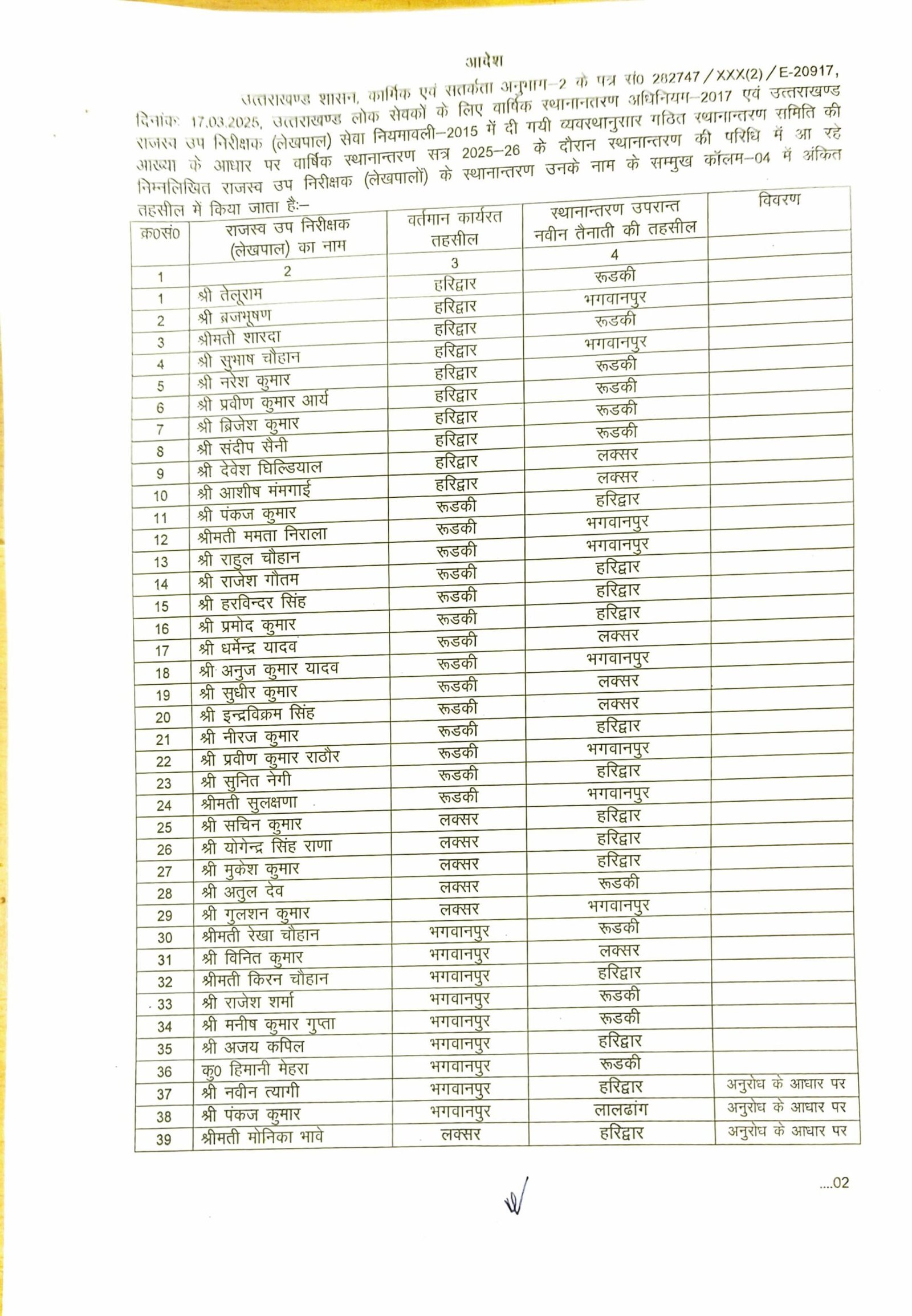
हरिद्वार : जिलाधिकारी मयूर दीक्षित ने बताया कि मुख्यमंत्री पुष्कर सिंह धामी द्वारा दी गए निर्देशों के क्रम में कार्यों में और अधिक पारदर्शिता व निष्पक्षता प्रदान करने, कर्मचारियों की दक्षता और संतुलन बनाए रखने, अनुभव और विकास के समान अवसर उपलब्ध कराने के साथ ही प्रशासनिक प्रबन्धन को बेहतर बनाने के उद्देश्य से जनपद में बंपर स्थानांतरण किए जा रहे हैं।

मुख्यमंत्री पुष्कर सिंह धामी द्वारा दी गए निर्देशों के क्रम में तथा उत्तराखंड ट्रांसफर एक्ट के अनुपालन में जिलाधिकारी मयूर दीक्षित द्वारा लम्बे समय से एक ही तहसील में जमे 7 रजिस्टार कानूनगो का स्थानांतरण एक तहसील से दूसरी तहसील में किया गया है। इसके साथ ही 36 राजस्व उपनिरीक्षकों एवं लेखपालों का स्थानांतरण एक तहसील से दूसरी तहसील में किया गया है जबकि 3 लेखपालों का स्थानांतरण अनुरोध के आधार पर अन्य तहसीलों में किया गया है। उन्होंने सभी स्थानांतरित कार्मिकों को तत्काल नव तैनाती स्थान पर योगदान आख्या प्रस्तुत करने के आदेश दिए।

जिलाधिकारी ने आदेश दिए कि जनपद में अन्य विभागों के जनपदीय कार्मिकों के भी स्थानांतरण की प्रक्रिया भी अतिशीघ्र पूरी करते हुए लम्बे समय से एक ही विकास खंड में तैनात वीडीओ, वीपीडीयो आदि के स्थानांतरण भी अन्यत्र विकास खण्डों में करना सुनिश्चित किया जाए।